论文已发表
注册即可获取德孚的最新动态
IF 收录期刊
Original Research
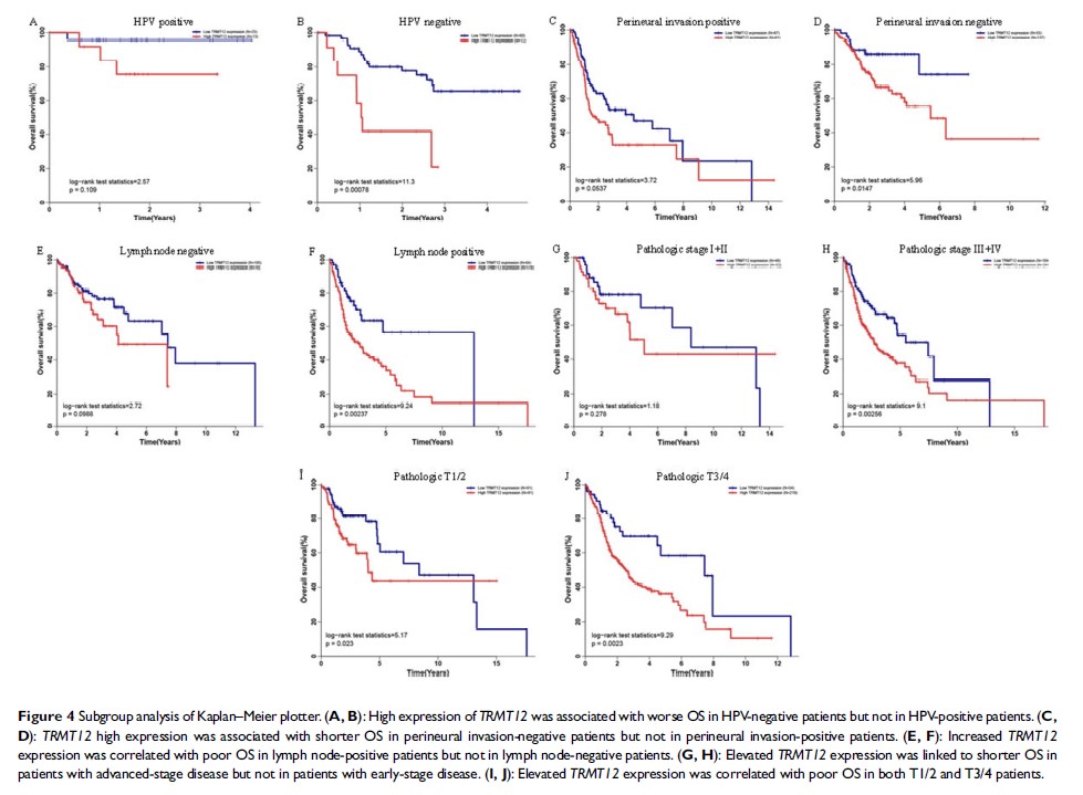
TRMT12 的过表达可能单独用于预测头颈部鳞状细胞癌患者的总体生存不良

Original Research
KRAS rs7973450 A>G 增加中国儿童神经母细胞瘤的风险:一项四中心病例对照研究

Original Research
cfa 基因在志贺菌对氨苄西林耐受中的作用

Clinical Trial Report
右美托咪定或舒芬太尼分别与罗哌卡因结合用于开胸术后硬膜外镇痛的比较:一项随机对照研究

Review
主要组织相容性复合体 II 与非小细胞肺癌的诊断、预后与治疗

Review
通过钛纳米管表面改性增强整形外科植入物的抗菌性能:当前技术综述
