论文已发表
注册即可获取德孚的最新动态
IF 收录期刊
Original Research
热休克蛋白(HSP)10 和 HSP70 的表达增加与鼻咽癌的预后不良有关

Original Research
一种减小半髋关节置换术后下肢不等长的简单方法

Original Research
COPD 患者上肢骨骼肌等速肌力评估及其与肺功能、呼吸肌肌力的相关性

Original Research
CYP2B6 基因多态性可影响海南人群的慢性阻塞性肺疾病易感性

Original Research
长非编码 RNA XIST 可促进上皮性卵巢癌的恶性行为

Original Research
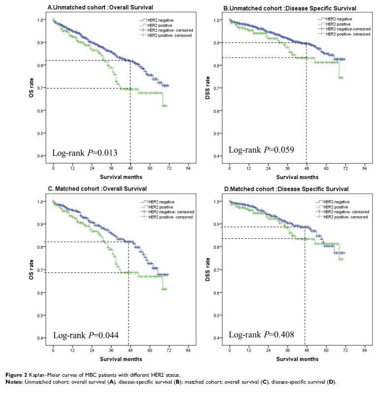
HER2 状况对男性乳腺癌预后的影响:一项基于人群的研究
