论文已发表
注册即可获取德孚的最新动态
IF 收录期刊
Original Research
凝血弹性描记法结合血小板映射试验可检测伴有再出血的动脉瘤性蛛网膜下腔出血患者的血小板功能障碍

Original Research
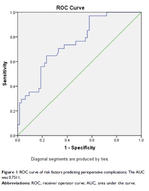
70 岁以上患者退行性腰椎侧凸手术的围手术期并发症和危险因素

Original Research
PELD 和开窗术治疗老年性腰椎侧隐窝狭窄症的效果比较

Original Research
中国老年人轻度认知障碍与健康相关的生活质量之间的关联

Original Research
基于超小生物聚合物纳米粒子的 MR/PA 双模态成像造影剂,用于原位肝细胞癌成像

Original Research
miR-7 通过靶向 MRP1 和 BCL2 逆转乳腺癌对化疗的耐药性
