论文已发表
注册即可获取德孚的最新动态
IF 收录期刊
Original Research
长非编码 RNA PART1 通过使 miR-190a-3p 海绵化和 PTEN/AKT 信号通路失活而在胶质瘤中发挥肿瘤抑制功能

Original Research
鉴别胶质母细胞瘤中的新型 lncRNA 标志物及其临床意义:基于多重测序数据的研究

Original Research
姜黄素对舌癌具有抗增殖和促凋亡作用:一项生物信息学分析和体外实验研究

Original Research
利用磁共振成像鉴别椎管内结核和转移性癌症

Original Research
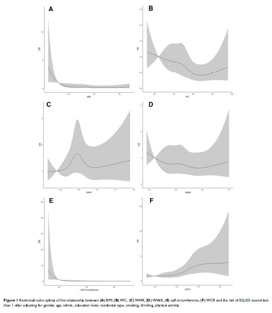
腰围与小腿围的比率是百岁老人 HRQoL 的独立危险因素

Original Research
非糖尿病人群的内脏脂肪指数和慢性肾病:一个横断面研究
