论文已发表
注册即可获取德孚的最新动态
IF 收录期刊
Original Research
前药制备的靶向自组装纳米颗粒用于癌症治疗

Original Research
Mitofusin1 是肺腺癌细胞中葡萄糖诱导的上皮-间充质转化的主要介质

Original Research
ACAT2 促进大肠癌的细胞增殖并与恶性进展相关

Original Research
OSR1 的下调通过由 FAK 介导的 Akt 和 MAPK 信号传导促进结肠腺癌进展

Original Research
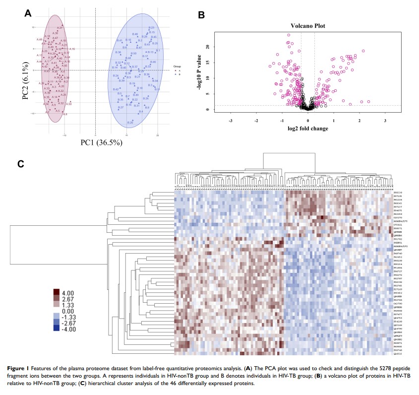
通过数据非依赖采集而进行的定量蛋白质组学探索 HIV 感染患者中结核的潜在血浆生物标记物

Original Research
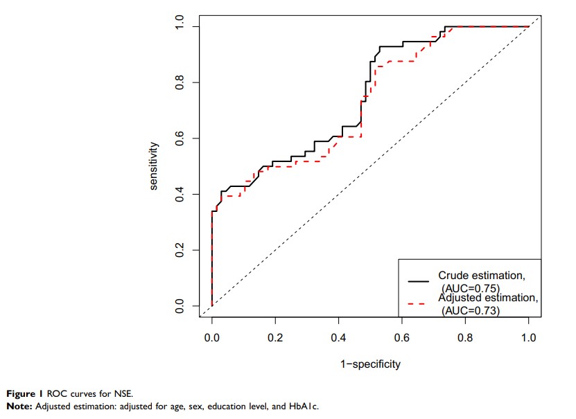
糖尿病性视网膜病变患者血清中神经元特异性烯醇化酶水平的升高与轻度认知障碍相关
