论文已发表
注册即可获取德孚的最新动态
IF 收录期刊
Review
在骨科手术中增强纳米氧化锌的抗菌性能和成骨活性:一个综述

Review
人类癌症中的长非编码 RNA BLACAT1

Case Report
KIF5B-EGFR 融合:肺腺癌中新的 EGFR 突变

Case Report
伴重排丢失的肺腺癌在克唑替尼和赛瑞替尼治疗期间 COX7A2L–ALK 、LINC01210–ALK 、ATP13A4–ALK 及获得性 SLCO2A1–ALK 共存:一份病例报告

Original Research
针对具 IQ 基序的 GTPase 激活蛋白家族的综合分析表明,IQGAP3-PIK3C2B 轴可促进结肠癌的侵袭

Original Research
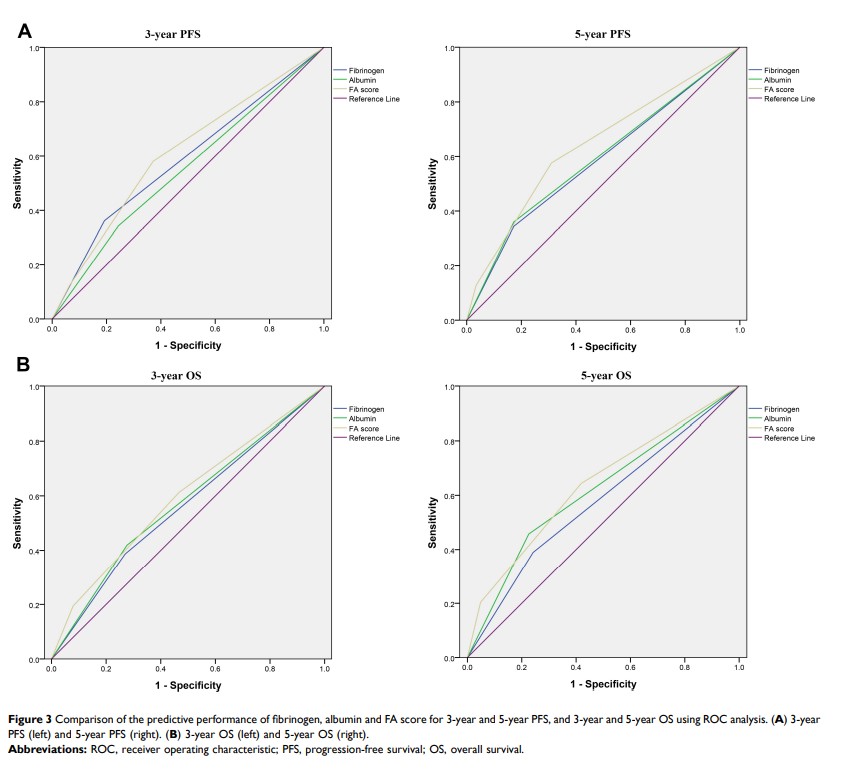
基于术前纤维蛋白原和白蛋白水平的累积评分对颅底脊索瘤的预后价
