论文已发表
注册即可获取德孚的最新动态
IF 收录期刊
Original Research
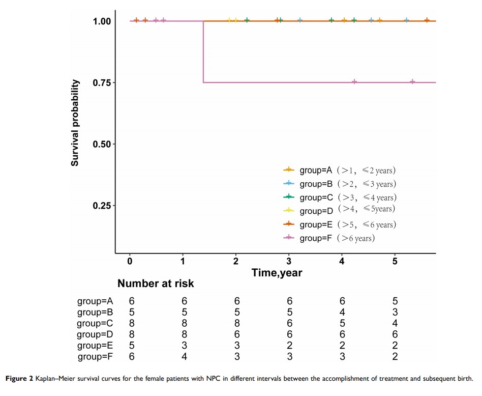
患有鼻咽癌的育龄妇女的治疗效果和经验

Original Research
长时间腹腔镜下根治性前列腺切除术的预测因素以及持续时间评分系统的创建

Original Research
流感大流行风险沟通策略研究—基于北京市大学生的心智模型研究

Original Research
晚期脊柱转移性肿瘤患者术后情绪低落风险分层的算法

Original Research
2017-2018 年在大型三级医院的无菌体液中分离出来的,产 NDM-5 的碳青霉烯类耐药的肺炎克雷伯菌 和产 SIM 的超病毒肺炎克雷伯菌 :使用 NGS 检测 bla NDM 样基因和 bla SIM 样基因的遗传特征

Original Research
患者的药物依从性和他们与医院药剂师的心理契约之间的相关性
