论文已发表
注册即可获取德孚的最新动态
IF 收录期刊
Original Research
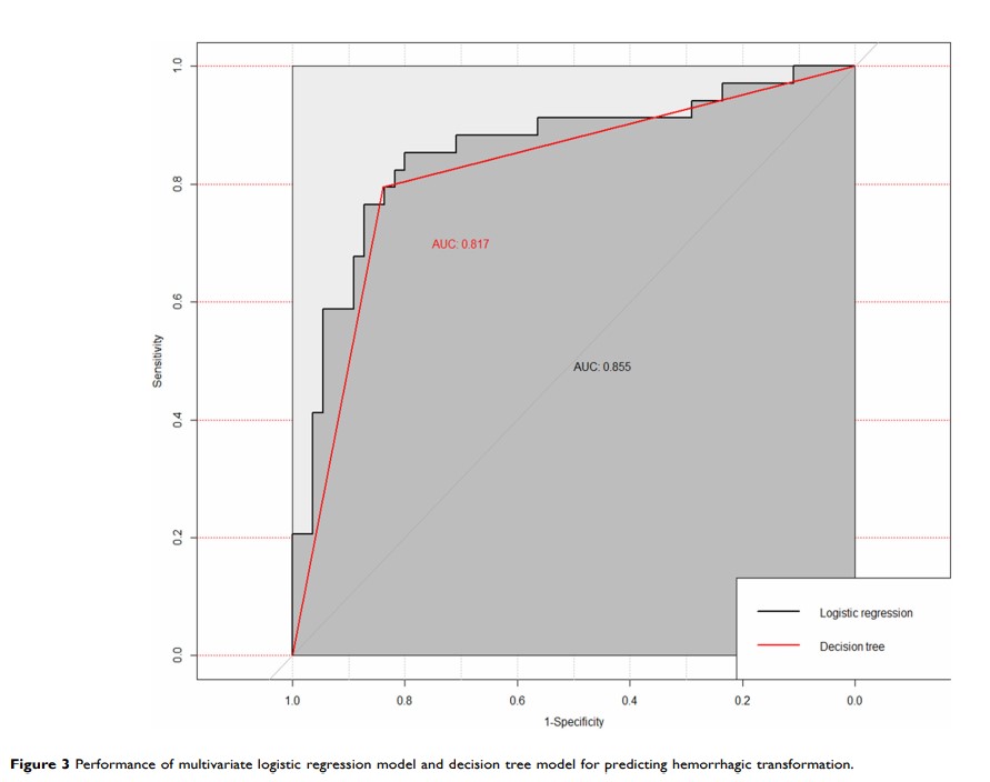
使用决策树模型确定血管腔内治疗后急性缺血性卒中患者出血性转化的预测因素

Original Research
老年股骨转子间骨折手术后的院内术后肺炎:发病率和危险因素

Original Research
胃癌中放射敏感性基因和 CD19 状态的预后价值:使用 TCGA 数据库进行的回顾性研究

Original Research
MicroRNA-431-5p 通过靶向 PANX3 抑制骨肉瘤的肿瘤发生

Original Research
CircTTBK2 通过调节 miR-145-5p/CPEB4 轴促进神经胶质瘤的进展

Original Research
实性结节的出现可预测肺腺癌患者的肿瘤通过空气空间传播:倾向评分匹配研究
