论文已发表
注册即可获取德孚的最新动态
IF 收录期刊
Original Research
SOX17 通过 Wnt 信号传导抑制子宫内膜癌的肿瘤转移

Original Research
TYMS 基因多态性与中国患者脑胶质瘤风险之间的关联:病例对照研究

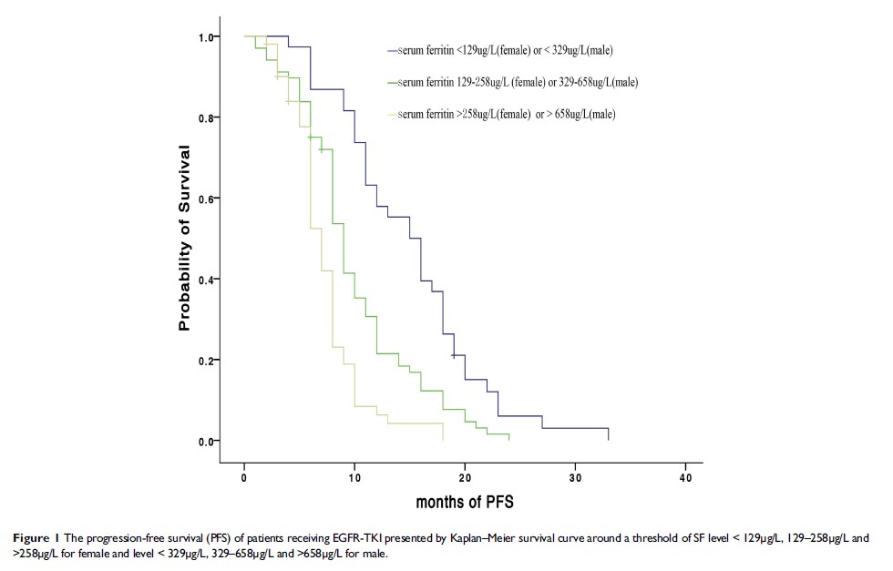
Original Research
血清铁蛋白对晚期 NSCLC 患者表皮生长因子受体突变和使用酪氨酸激酶抑制剂治疗表皮生长因子受体(EGFR)的预后效果预测

Review
人类癌症中的星形环状 RNA:进展与展望

Original Research
生活在社区的中国老年人群射血分数保留型左心室舒张功能障碍的危险因素和表观遗传标记

Original Research
近红外光增强的蛋白酶耦合的金纳米棒,作为消除外毒素和生物膜的光热抗菌剂
