论文已发表
注册即可获取德孚的最新动态
IF 收录期刊
Original Research
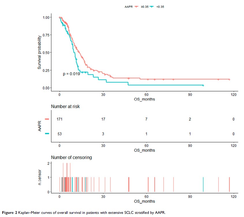
治疗前白蛋白与碱性磷酸酶比例在广泛期小细胞肺癌中的预后价值:一项回顾性队列研究

Original Research
建立简单的列线图以预测早期乳腺癌的腋窝淋巴结转移

Original Research
虚拟触摸成像定量的定性评估:一种简单而有用的乳腺病变诊断方法

Original Research
LncRNA-ATB 通过靶向 miR-200a/β-连环蛋白信号通路促进肺腺癌细胞的顺铂耐药性

Original Research
中国老年人社会资本与抑郁症状的关系研究:生活满意度的中介效应

Original Research
对使用生物靶向协同治疗剂、由多模式成像介导的肿瘤治疗进行实验研究
