论文已发表
注册即可获取德孚的最新动态
IF 收录期刊
Review
Erastin 对铁死亡的作用及其在癌症治疗中的前景

Original Research
重度抑郁症患者的萎缩性胼胝体与功能不对称性改变相关

Original Research
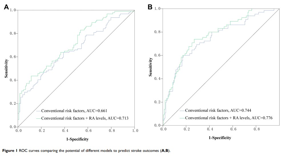
血清视黄酸水平降低可预测缺血性卒中患者的预后不良

Original Research
尼莫地平通过 IncRNA NEAT1/miR-27a/MAPT 轴缓解大鼠蛛网膜下腔出血后的认知障碍

Original Research
MiR-124-3p.1 可提高卵巢癌细胞对卡铂诱导的线粒体凋亡的敏感性

Original Research
lncRNA RHPN1-AS1 通过抑制 miR-1299 促进卵巢癌的生长和侵袭
