论文已发表
注册即可获取德孚的最新动态
IF 收录期刊
Original Research
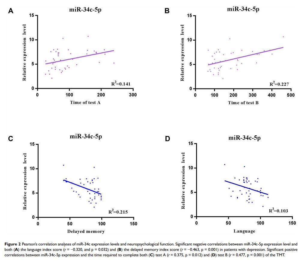
microRNA-34b/c 的表达和遗传变异对重度抑郁症患者认知功能的影响

Original Research
PLGA 封装的表没食子儿茶素没食子酸酯(EGCG)可增强对肺癌的化疗功效

Original Research
接触低剂量二氧化硅纳米颗粒通过神经活性配体-受体相互作用信号通路诱导斑马鱼胚胎中的神经毒性

Original Research 视频
慢性阻塞性肺疾病急性加重期的抑郁和/或焦虑的多因素分析

Original Research
每月一次自我报告的 ACT 问卷在门诊哮喘患者吸入器依从性管理中的应用

Original Research
长非编码 RNA TUG1 通过 MiR-31-5p/FLOT1 轴促进肾透明细胞癌的细胞增殖并抑制细胞凋亡和自噬
