论文已发表
注册即可获取德孚的最新动态
IF 收录期刊
Original Research
短期抗生素疗法对多重耐药性金黄色葡萄球菌耐受性和抗生素耐药性的影响

Original Research
来自中国中部武汉的金黄色葡萄球菌分离株的分子特性、抗菌素耐药性和毒力基因谱

Original Research
老年脓毒症患者早期免疫麻痹与不良预后相关:ETASS 研究中的二级分析

Original Research
TNF-α 和 FGF-2 在高脂饮食联合链脲佐菌素诱导的 2 型糖尿病模型的骨折愈合障碍中的作用

Original Research
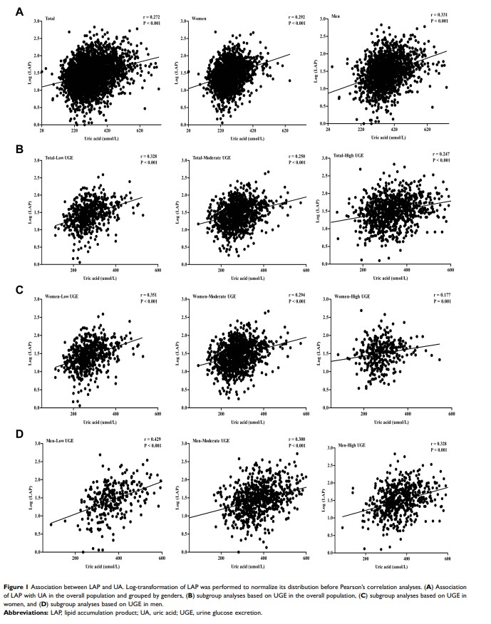
尿糖排泄削弱了处于糖尿病前期的受试者的脂质蓄积产物与血清尿酸之间的关联

Original Research
PPARδ 消炎药 GW501516 在妊娠期糖尿病大鼠中的作用
