论文已发表
注册即可获取德孚的最新动态
IF 收录期刊
Original Research
罗库溴铵对接受选择性单侧全膝关节置换术患者止血带引起的骨骼肌缺血再灌注损伤的保护作用:一项前瞻性、双盲、随机对照研究

Original Research
肉桂醛在治疗前列腺癌相关成纤维细胞时,可通过 Toll 样受体 4 阻止其对 T 细胞的抑制作用

Original Research
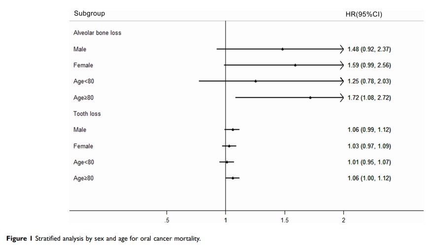
老年患者的牙槽骨丢失、牙齿缺失和口腔癌死亡率:一项回顾性队列研究

Original Research
电荷逆转的级联靶向和二硫键屏蔽用于多级敏感的 MSNs-COS-SS-CMC 的有效 DOX 传递

Original Research
MiR-140 通过 SIRT1/ROS/JNK 信号通路使顺铂耐药的 NSCLC 细胞对顺铂治疗再次敏感

Original Research
维生素 D 受体基因多态性 rs2228570 与过敏性鼻炎之间的关联
