论文已发表
注册即可获取德孚的最新动态
IF 收录期刊
Original Research
雾化和全身性皮质类固醇激素治疗对于中国慢性阻塞性肺病急性加重患者的临床疗效比较(CONTAIN 研究):事后分析

Original Research
稳定期 COPD 患者的血清淀粉样蛋白 A 与频繁发作的表型相关

Original Research
从临床广泛耐药的 ST648 大肠杆菌中分离出的新型携带 bla CTX-M-65 的 IncHI2 质粒 pE648CTX-M-65

Original Research
长非编码 RNA H19 通过激活自噬参与牙周组织炎症

Original Research
靶向 HMGB1 的 CircCFL1/MiR-107 轴可促进弥漫性大型 B 细胞淋巴瘤肿瘤的恶性进展

Original Research
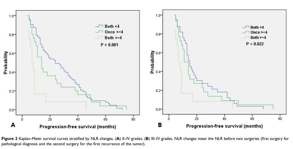
中性粒细胞与淋巴细胞的比率及其变化与 II–IV 级神经胶质瘤复发有关
