论文已发表
注册即可获取德孚的最新动态
IF 收录期刊
Original Research
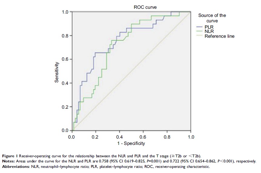
术前中性粒细胞 - 淋巴细胞和血小板 - 淋巴细胞比率作为 T 期肝门部胆管癌的独立预测因子

Original Research
通过采用高放射性 UCNP 和具有低键离解能的光可切割接头,超低强度近红外光可触发按需药物释放

Original Research
PFV 修饰的柔红霉素/薯蓣皂苷共载靶向脂质体抑制非小细胞肺癌转移作用研究

Original Research
Cholate 修饰的聚合物 - 脂质杂化纳米粒子用于口服递送槲皮素以增强抗白血病效应

Original Research
双功能 HER2 适体 - 缀合、pH 激活的介孔二氧化硅纳米载体药物传递系统在 HER2 阳性乳腺癌细胞中提供协同的体外细胞毒性

Original Research
靶向递送多肽纳米颗粒用于治疗创伤性脑损伤
