论文已发表
注册即可获取德孚的最新动态
IF 收录期刊
Original Research
CytoSorter® 循环肿瘤细胞捕获系统,对局部晚期头颈部鳞状细胞癌患者的疗效评估

Original Research
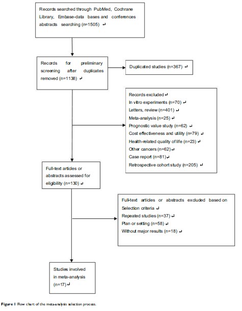
PD-1/L1 抑制剂用于晚期非小细胞肺癌治疗的汇总荟萃分析

Original Research
深部脑刺激对帕金森病患者泌尿功能障碍影响的临床研究

Original Research
miR-382-5p 在胶质瘤细胞增殖、迁移和侵袭中的作用

Original Research
1 型糖尿病患者外周血单个核细胞动态分子网络的鉴定

Original Research
新型指标(PSApostd3/PSApre)对根治性前列腺切除术后患者 PSA 复发的预后意义
