论文已发表
注册即可获取德孚的最新动态
IF 收录期刊
Original Research
环孢菌素 A 治疗亚洲人群特发性膜性肾病的疗效和安全性

Original Research
分析药物受益方案对中国城市老年人抗高血压药物依从性的影响

Original Research
人斯钙素 2(STC2)表达可提高鼻咽癌细胞放射后存活率,改善迁移和侵袭

Original Research
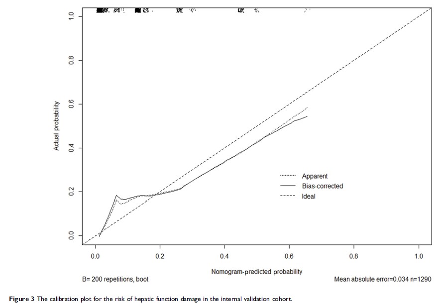
TBH 评分:预测和预防癌症患者化疗后严重肝损伤的新模型

Original Research
T1-2N1M0 期乳腺癌保乳手术后放疗与乳房切除术后放疗的长期效果比较

Hypothesis
cGAS/STING 通路:与衰老相关的 DNA 损伤传感器和早期年龄相关性黄斑变性的炎症触发因素
