论文已发表
注册即可获取德孚的最新动态
IF 收录期刊
Original Research
用于肝癌治疗的、负载姜黄素的 PLGA-TPGS 纳米颗粒的制备、表征和评价

Original Research
甘草酸二铵通过抑制 NKT 细胞增殖并促进 Treg 增殖来减轻肝脏损伤

Original Research
电针可减轻脊髓神经损伤引起的神经痛,并调节脊髓中的 HMGB1/NF-κB 信号通路

Original Research
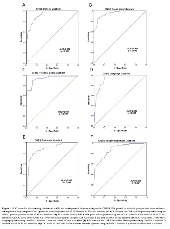
儿童神经心理行为量表与格里菲斯精神发育量表在评估孤独症儿童发育水平中的比较

Original Research
新型 Hsp90 抑制剂 C086 可以作为单独用药或与吉非替尼联合使用来有效抑制非小细胞肺癌细胞

Review
E-钙黏着蛋白信号传导在人类肝细胞癌中的遗传和表观遗传调控
