论文已发表
注册即可获取德孚的最新动态
IF 收录期刊
Original Research
长非编码 RNA BCAR4 通过靶向 miR-2276 来上调胶质瘤中 MMP7 的表达,从而促进生长、侵袭和致瘤性

Original Research
LncRNA RP11-422N16.3 通过海绵化 miR-23b-3p 抑制肝癌细胞的增殖和 EMT,并诱导其凋亡

Original Research
PRKD2 通过调节 Notch1 信号通路促进 AML 的发展和化学耐药性

Original Research
胺碘酮和奎尼丁的药物相互作用对依鲁司他(Eliglustat)在大鼠中的药代动力学影响

Original Research 简明总结
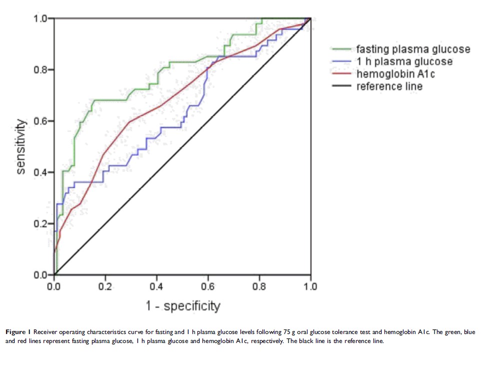
妊娠糖尿病患者妊娠期间胰岛素治疗和产后血糖代谢异常的预测指标

Original Research
慢性肾脏病患者外周血淋巴细胞中 Linc00342 表达的临床意义
