论文已发表
注册即可获取德孚的最新动态
IF 收录期刊
Original Research
CircRNA-PTN 使 miR-326 海绵化以促进肝细胞癌的增殖

Original Research
TCF4 沉默通过抑制 GLUT3 -介导的糖酵解使黑素瘤细胞对维拉非尼敏感

Original Research
长非编码 RNA SNHG14 通过使 miR-217 海绵化促进肝细胞癌的发展

Original Research
Six1 过表达通过调节 GLUT3、MMP2 和 Snail 促进甲状腺癌细胞的葡萄糖代谢和侵袭

Original Research
抑制丝氨酸代谢可促进胃癌对顺铂的耐药性

Original Research
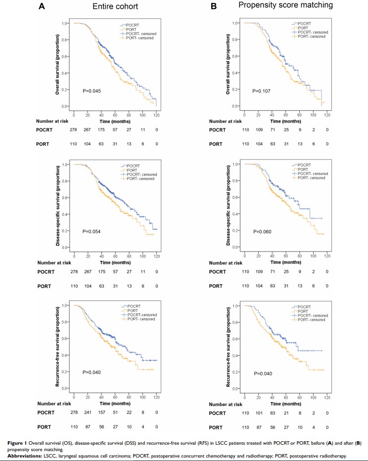
对喉鳞状细胞癌伴淋巴血管浸润的患者行术后同步放化疗与术后单独放疗的比较:倾向评分匹配研究
