论文已发表
注册即可获取德孚的最新动态
IF 收录期刊
Original Research
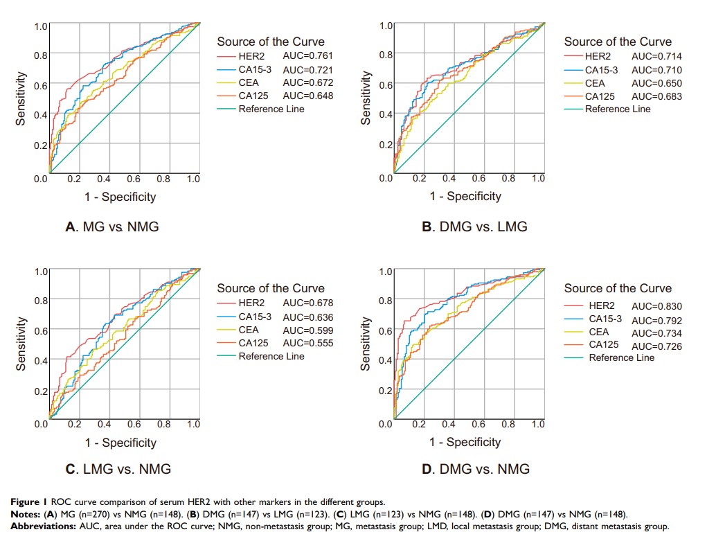
监测血清 HER2 作为转移性乳腺癌患者的预测生物标志物的价值

Review
新辅助化疗对乳腺癌的疗效评估

Original Research
GALR1 基因 5'-非翻译区多态性与中国北方汉族人群精神分裂症之间的关联:一个病例对照研究

Original Research
福建酸竹提取物通过硫氧还蛋白 1 的正向调节,在体外减轻紫外线诱导的皮肤细胞损伤

Original Research
载吲哚菁绿的靶向纳米气泡用于前列腺癌的超声、光声和荧光成像

Original Research 视频
具有 IGF-1C 结构域和 D 构型肽的 β-片肽混合水凝胶递送 MSC 用于急性肾损伤治疗
