论文已发表
注册即可获取德孚的最新动态
IF 收录期刊
Original Research
探索个人权力意识对于激发员工创造力的作用:基于自决理论衍生观点的双重调解模型

Original Research
一种新型的肿瘤抑制因子 SPINK5 作为头颈部鳞状细胞癌患者的独立预后预测指标

Original Research
Aurora-B 通过激活 NPM1/ERK/NF-κβ/MMPs 轴促进骨肉瘤细胞生长和转移

Original Research
评估隐睾症对睾丸精原细胞瘤临床分期的影响

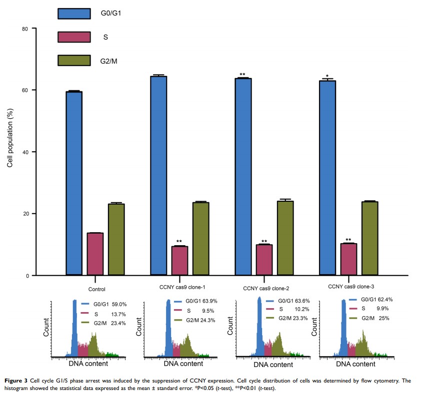
Original Research
CCNY 通过 MEK/ERK 信号通路加速 Cylcin E 表达,从而调节喉癌细胞的增殖

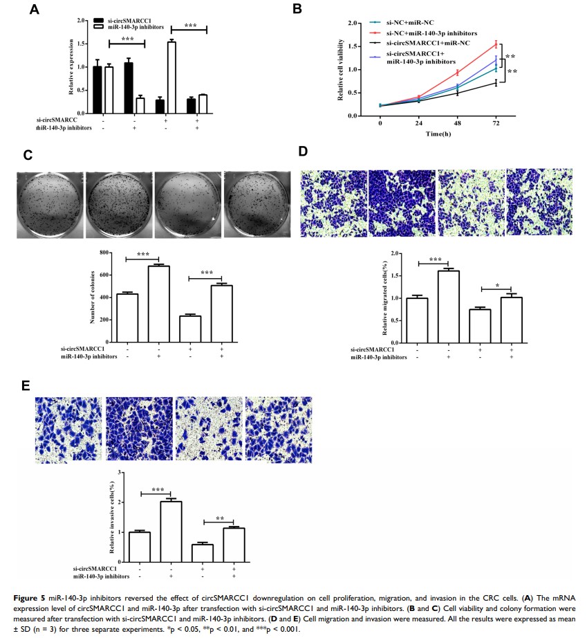
Original Research
CircRNA SMARCC1 海绵化 MiR-140-3p 以调节结直肠癌细胞的进展
