论文已发表
注册即可获取德孚的最新动态
IF 收录期刊
Original Research
胰岛素调节的 FOXC2 表达对脂肪细胞分化和胰岛素抵抗的影响

Original Research
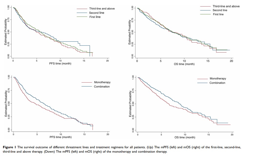
阿帕替尼治疗晚期胃癌的大规模、多中心、前瞻性研究:一项来自中国的现实世界研究

Original Research
鼻咽癌脊柱转移瘤的外科治疗结果:来自单一中心的 30 例患者的首次报告

Original Research
MiR-218-5p 通过靶向 NACC1 并抑制 AKT/mTOR 信号通路来遏制视网膜母细胞瘤的进展

Original Research
使用 5-Aza-2ʹ-脱氧胞苷和加载硼替佐米的自组装纳米颗粒抑制多发性骨髓瘤

Original Research
长非编码 RNA LINC00491 通过与 microRNA-324-5p 的竞争性结合并增加特异性蛋白 1 表达来促进非小细胞肺癌的恶性肿瘤
