论文已发表
注册即可获取德孚的最新动态
IF 收录期刊
Original Research
在预测肾癌无复发生存时间中,凝血酶原时间活性、凝血酶原时间、白蛋白/球蛋白比、血小板、性别和纤维蛋白原的预后作用

Original Research
阻塞性睡眠呼吸暂停综合症患者面部情绪化表情的自动处理功能障碍:一项事件相关电位的研究

Review 简明总结
在以人为本的痴呆症护理中了解护理人员与护理对象之间的相互作用:一个简短回顾

Original Research
采用网片系统的全盆腔底重建术治疗严重盆腔器官脱垂患者的主观和客观评价:1 年回顾性研究

Original Research
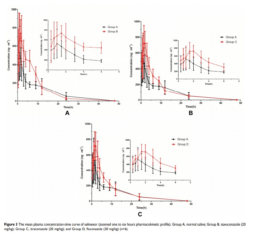
采用 UPLC-MS/MS 方法测定艾沙康唑、伊曲康唑和氟康唑对 Selinexor 在大鼠体内药代动力学的影响

Original Research
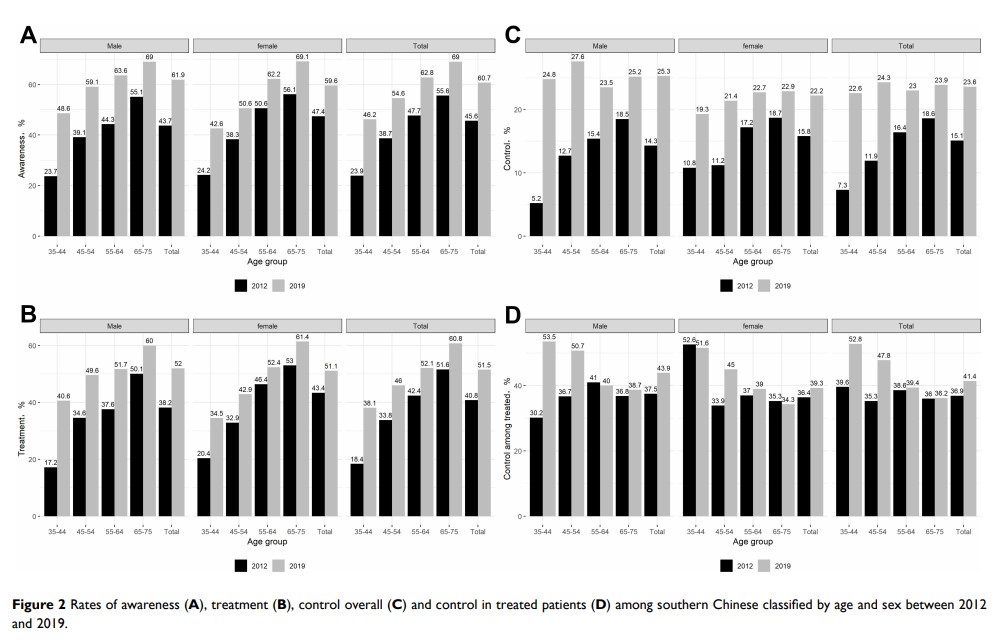
2012-2019 年中国华南地区高血压状况的趋势
